+8613540200448   2881651138   Alin@akbiotech.com.cn
PRODUCT CENTER
HomeProductAPIs and its intermediates and impuritiesUbenimexUbenimex intermediates
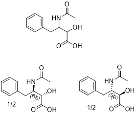
Threo-2-hydroxy-3-acetylamino-4-phenylbutanoic acid
Synonyms:
Threo-(3-Acetyl)-(2RS)-AHPA
CAS No:
344758-00-5
Appearance:
N/A
Product Number:
AK0005
Product Description

Name

Threo-2-hydroxy-3-acetylamino-4-phenylbutanoic acid


       1555.png

CAS No

344758-00-5

M.W

237.25

Appearance

N/A

Purity

98%

Product No

AK0005 

Synonyms

Threo-(3-acetyl)-(2RS)-AHPA

Product description

Threo-2-hydroxy-3-acetylamino-4-phenylbutanoic acid (344758-00-5) has been supplied to well-known enterprises at home and abroad on an industrial scale, and its product quality has been well received. Its purity is better than that of similar products in the market, which provides a good support for the quality stability of downstream products.

Threo-2-hydroxy-3-acetylamino-4-phenylbutanoic acid (344758-00-5) for our customized products, welcome new and old customers to inquire.

Similar products

THREO-(2RS)-3-ACETYLAMINO-2-HYDROXY-4-OXO-4-PHENYLBUTYRIC ACID 

CAS:87081-54-7

Benzenebutanoic acid, β-(acetylamino)-α-hydroxy-, (αS,βR)-    CAS:76498-18-5

Purpose

Threo-2-hydroxy-3-acetylamino-4-phenylbutanoic acid can be used to synthesize ubenmex.

Other

N/A


Related suggestion
2-Bromoacetophenone
Synonyms:
2-Bromo-1-phenylethanone; Bromoacetophenone
CAS No:
70-11-1
Appearance:
Beige crystalline powder
Product Number:
N/A
Acetylaminoacetophenone
Synonyms:
N-(2-Oxo-2-phenylethyl)acetamide
CAS No:
1846-33-9
Appearance:
N/A
Product Number:
AK0214
L-Leucine, N-[2-hydroxy-1-oxo-4-phenyl-3- [[(phenylmethoxy)carbonyl]amino]butyl]-phenylmethyl ester
Synonyms:
Benzyl (N-(2S,3R)-2-hydroxy-3-benzyloxycarbonylamino-4-phenylbutanoyl)-L-leucinate
CAS No:
62058-32-6
Appearance:
N/A
Product Number:
AK0307
About Us
Company ProfileNewsHonor
Product
APIs and its intermediates and impuritiesFood AdditivesCosmetic AdditivesPolymer material Amino acids and its derivativesShort peptidePiperidine productsRAFT reagentCustom CompoundChemiluminescent agent
Service Guarantee
Quality systemPacking InstructionMeans of Transport
Contact Us

Cosmetic additives/food additives/beauty peptides

Phone/whatsapp: +86 13540200448 (Rao)

QQ: 2881651138

Email: Alin@akbiotech.com.cn


APIs and their intermediates/short peptides/amino acid derivatives

Phone//whatsapp: +86 13540204019 (Peng)

QQ: 2881651139

Email: Lucy@akbiotech.com.cn

Company address: Building 28, No. 1919 Shuangyan Road, Jinma Town, Wenjiang District, Chengdu City

Copyright © 2021 AK Biotech Co., Ltd .. All rights reserved  备案号:蜀ICP备2021026563号-1